高中数学
高中数学知识点:微积分基本定理
逍遥右脑 2016-03-11 13:47
基本定理:
若函数f(x)在[a,b]上连续,且存在原函数F(x),即
,则f在[a,b]上可积,且
,这称为牛顿-莱布尼茨公式,它也常写成
。
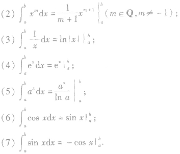
基本积分公式:
版权声明:本文内容由互联网用户自发贡献,该文观点仅代表作者本人。本站仅提供信息存储空间服务,不拥有所有权,不承担相关法律责任。如发现本站有涉嫌抄袭侵权/违法违规的内容,请发送邮件至 lxy@jiyifa.cn 举报,一经查实,本站将立刻删除。
上一篇:
构建新课程理念下的数学互动??探究式课堂教学
下一篇:
数学不好原因各有不同需对症下药
逍遥右脑在线培训课程推荐
快速记忆课程
快速阅读课程
速读训练软件
数字编码卡片
右脑训练卡片
全脑学习加盟
【高中数学知识点:微积分基本定理】相关文章
高中数学教学中学生思维能力的培
高中数学平面解析几何怎样学习才
浅议高中数学教学学生创新精神的
高考文科数学必背公式有哪些
高二数学必修一知识点:不等式的
【高中数学知识点:微积分基本定理】推荐文章
新高三理科生数学的复习方法
圆的方程;空间两点的距离公式
高中数学学习方法:高中数学学法
高考数学临场解题技巧
“数学教学无德育可谈”
微信公众号
右脑论坛