高中数学知识点:正态分布

逍遥右脑  2017-12-23 23:23

正态分布的定义:


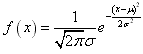
如果随机变量ξ的总体密度曲线是由或近似地由下面的函数给定:,x∈R,则称ξ服从正态分布,这时的总体分布叫正态分布,其中μ表示总体平均数,σ叫标准差,正态分布常用来表示。
当μ=0,σ=1时,称ξ服从标准正态分布,这时的总体叫标准正态总体。
叫标准正态曲线。



正态曲线,x∈R的有关性质:


(1)曲线在x轴上方,与x轴永不相交;
(2)曲线关于直线x=μ对称,且在x=μ两旁延伸时无限接近x轴;
(3)曲线在x=μ处达到最高点;
(4)当μ一定时,曲线形状由σ的大小来决定,σ越大,曲线越“矮胖”,表示总体分布比较离散,σ越小,曲线越“瘦高”,表示总体分布比较集中。


在标准正态总体N(0,1)中:


(1)
(2)(因为曲线关于y轴对称);
(3)



版权声明:本文内容由互联网用户自发贡献,该文观点仅代表作者本人。本站仅提供信息存储空间服务,不拥有所有权,不承担相关法律责任。如发现本站有涉嫌抄袭侵权/违法违规的内容,请发送邮件至 lxy@jiyifa.cn 举报,一经查实,本站将立刻删除。
上一篇:揭秘高中生期中考试失败的六大原因
下一篇:提高数学作业讲评有效性的策略探析

逍遥右脑在线培训课程推荐

【高中数学知识点:正态分布】相关文章
【高中数学知识点:正态分布】推荐文章