高中数学知识点:双曲线的标准方程及图象

逍遥右脑  2017-11-14 16:44

双曲线的标准方程:


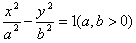
(1)中心在原点,焦点在x轴上:
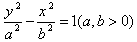
(2)中心在原点,焦点在y轴上:
双曲线的图像:


(1)焦点在x轴上的双曲线的图像

(2)焦点在y轴上的双曲线的图像



判断双曲线的焦点在哪个轴上:


判断双曲线的焦点在哪个轴上的方法看未知数前的系数,哪一个为正,焦点就在哪一个轴上.


定义法求双曲线的标准方程:


求动点的轨迹方程时,可利用定义先判断动点的轨迹,再写出方程.平面几何中的定理性质在解决解析几何问题时起着简化运算的作用,一定要注意应用,根据双曲线的定义,到两个定点的距离之差的绝对值是一个常数的点的轨迹是双曲线,可以求双曲线的标准方程,


待定系数法求双曲线的标准方程:


在求双曲线标准方程时,可先设出其标准方程,再根据双曲线的参数a,b,c,e的取值及相互之间的关系,求出a,b的值,已知双曲线的渐近线方程,求双曲线方程时,可利用共渐近线双曲线系方程,再由其他条件求λ.若焦点不确定时,要注意分类讨论.


利用双曲线的性质求解有关问题:


要解决双曲线中有关求离心率或求离心率范围的问题,应找好题中的等量关系或不等关系,构造出离心率的关系式,这里应和椭圆中a,b,c的关系区分好,即



几种特殊的双曲线:













等轴双曲线实轴和虚轴相等的双曲线叫做等轴双曲线.离心率两条渐近线互相垂直
共轭双曲线




共渐近线的双曲线



版权声明:本文内容由互联网用户自发贡献,该文观点仅代表作者本人。本站仅提供信息存储空间服务,不拥有所有权,不承担相关法律责任。如发现本站有涉嫌抄袭侵权/违法违规的内容,请发送邮件至 lxy@jiyifa.cn 举报,一经查实,本站将立刻删除。
上一篇:半期考试后 高中数学如何查漏补缺
下一篇:突出学生主体地位 提高数学教学质量

逍遥右脑在线培训课程推荐

【高中数学知识点:双曲线的标准方程及图象】相关文章
【高中数学知识点:双曲线的标准方程及图象】推荐文章