高中数学知识点:抛物线的参数方程
逍遥右脑 2017-07-11 15:36
抛物线的参数方程:
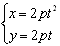
如图,抛物线y2=2px(p>0)(或x2=2py(p>0))的参数方程为
(或
)(t为参数,t∈R)。
几何意义为:
t表示抛物线上除顶点外的任意一点与原点连线的斜率的倒数。即M(x,y)为抛物线上任意一点,则有
抛物线的参数方程的推导:
设抛物线的普通方程为
因为点M在α的终边上,根据三角函数的定义可得
由(5)(6)解出x,y,得到
这就是抛物线(5)(不包括顶点)的参数方程。
如果令

则有
当t=0时,由参数方程表示的点正好就是抛物线的顶点(0,0),因此

时,参数方程就表示抛物线。
版权声明:本文内容由互联网用户自发贡献,该文观点仅代表作者本人。本站仅提供信息存储空间服务,不拥有所有权,不承担相关法律责任。如发现本站有涉嫌抄袭侵权/违法违规的内容,请发送邮件至 lxy@jiyifa.cn 举报,一经查实,本站将立刻删除。