逍遥右脑 2017-03-29 13:24
库仑定律:


“割补”法处理非点电荷间的静电力问题:
在应用库仑定律解题时,由于其适用条件是点电荷,所以造成了一些非点电荷问题的求解困难,对于环形或球形缺口问题,“割补法”非常有效。所谓“割”是指将带电体微元化,再利用对称性将带电体各部分所受电场力进行矢量合成。所谓“补”是将缺口部分先补上,使带电体能作为点电荷来处理。
静电力作用的平衡与运动类问题的解法:
带电体在静电力参与下的运动,从运动轨迹来看可以有直线运动、曲线运动;从运动性质来看可以是匀变速运动,也可以是变加速运动;从参与运动的研究对象来看可以是单一的物体,也可以是多物体组成的系统等。物体或者系统在静电力作用下处于平衡状态或某种形式的运动时,解决思路与力学中同类问题的解决思路相同,仍需选定研究对象后进行受力分析,再利用平衡条件或牛顿运动定律列方程求解。但需注意库仑力的特点,特别是在动态平衡问题、运动问题中,带电体间距离发生变化时,库仑力也要发生变化,要分析力与运动的相互影响。整体法与隔离法是解决连接体问题的有效方法,在通过静电力联系在一起的系统,也要注意考虑整体法与隔离法的选择。
知识拓展:
三个点电荷在相互间作用力作用下处于平衡时的规律
规律一:三个点电荷的位置关系是“同性在两边,异性在中间”:如果三个点电荷只在库仑力的作用下能够处于平衡状态,则这三个点电荷一定处于同一直线上,且有两个是同性电荷,一个是异性电荷,两个同性电荷分别在异性电荷的两边。
规律二:中间的电荷所带电荷量是三个点电荷中电荷量最小的;两边同性电荷谁的电荷量小,中间异性电荷就距谁近一些.
证明:如图所示,甲、乙、丙三个点电荷处于平衡状态,它们的电荷量分别为
甲与乙、乙与丙之间的距离分别为
设
为正电荷,则
为负电荷。由公式F=qE知,三个电荷能够处于平衡状态,说明甲、乙、丙三个电荷所在处的合场强为0。
乙、丙两点电荷在甲处产生的场强分别为
两场强在甲处大小相等,方向相反,合场强等于零,故
,由此式可知
同理可证
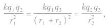
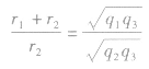
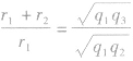
规律三:三个点电荷的电荷量满足
证明:三个点电荷能够同时处于平衡状态,则三个点电荷之间的库仑力相等,即
整理该式易得
,
联立两式得
三个自由电荷都处于平衡状态时,则口诀概括为 “三点共线,两同夹异(同性在两边,异性在中间),两大夹小,近小远大,高考不怕”。由此可以迅速、准确地确定三个电荷的相对位置及电性。