高中数学知识点:两条平行直线间的距离

逍遥右脑  2017-01-27 08:32

两条平行直线间的距离:


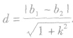
两平行线l1:A1x+B1y+C1=0,l2:A2x+B2y+C2=0间的距离为d=



对两条平行直线间的距离公式的理解:


①两条平行直线间的距离,就是在其中一条直线上任取一点,这个点到另一条直线的距离,此点一般可以取直线上的特殊点,该方法体现了化归思想,即由线线间的距离到点线间的距离的转化,当然点线间的距离也可以化归为点点间的距离来求解;
②当利用两条平行直线间的距离公式d=时,一定要先将两直线的方程化为一般形式且x和y的系数对应相等;
③如果两平行直线的方程用斜截式方程表示为那么两平行直线间的距离公式为



版权声明:本文内容由互联网用户自发贡献,该文观点仅代表作者本人。本站仅提供信息存储空间服务,不拥有所有权,不承担相关法律责任。如发现本站有涉嫌抄袭侵权/违法违规的内容,请发送邮件至 lxy@jiyifa.cn 举报,一经查实,本站将立刻删除。
上一篇:数学课堂有效教学问题情境创设之探索
下一篇:解读2016高考数学解题技巧四项原则

逍遥右脑在线培训课程推荐

【高中数学知识点:两条平行直线间的距离】相关文章
【高中数学知识点:两条平行直线间的距离】推荐文章