逍遥右脑 2016-10-07 17:30
二次根式混合运算掌握:
1、确定运算顺序。
2、灵活运用运算定律。
3、正确使用乘法公式。
4、大多数分母有理化要及时。
5、在有些简便运算中也许可以约分,不要盲目有理化。
6、字母运算时注意隐含条件和末尾括号的注明。
7、提公因式时可以考虑提带根号的公因式。
二次根式化简方法:
二次根式的化简是初中阶段考试必考的内容,初中竞赛的题目中也常常会考察这一内容。
分母有理化:
分母有理化即将分母从非有理数转化为有理数的过程,以下列出分母有理化的几种方法:
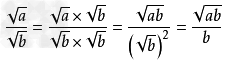
(1)直接利用二次根式的运算法则:
例:
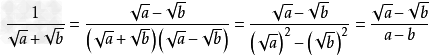
(2)利用平方差公式:
例:
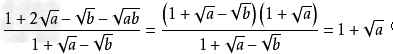
(3)利用因式分解:
例:
(此题可运用待定系数法便于分子的分解)
换元法(整体代入法):
换元法即把根式中的某一部分用另一个字母代替的方法,是化简的重要方法之一。
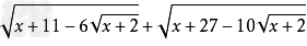
例:在根式
中,令
,即可得到
原式=√(u2+9-6u)+√(u2+25-10u)=√(u-3)2+√(u-5)2=2u-8=2√(x+2)-8
提公因式法:
例:计算

巧构常值代入法:
例:已知x2-3x+1=0,求
的值。
分析:已知形如ax2+bx+c=0(x≠0)的条件,所求式子中含有
的项,可先将ax2+bx+c=0化为x+
=
,即先构造一个常数,再代入求值。
解:显然x≠0,x2-3x+1=0化为x+
=3。
原式
=
=2.