逍遥右脑 2016-09-22 10:23
柱坐标系的定义:
建立空间直角坐标系Oxyz,设P(x,y,z)是空间任意一点,它在Oxy平面上的射影为Q,Q点的极坐标为(ρ,θ),则P的位置可用有序数组(ρ,θ,z)表示,(ρ,θ,z)叫做点P的柱坐标。
(1)柱坐标转化为直角坐标:
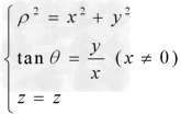
(2)直角坐标转化为柱坐标:
。
球坐标系的定义:
建立空间直角坐标系Oxyz,设P(x,y,z)是空间任意一点,记|OP|=r,OP与Oz轴正向所夹的角为j,点P在Oxy平面上的射影为Q,Ox轴按逆时针方向旋转到OQ时所转过的最小正角为θ,则P的位置可用有序数组(r,j,θ)表示,(r,j,θ)叫做点P的球坐标。
将球坐标转化为直角坐标:
。