逍遥右脑 2016-08-09 12:54
球与正方体的组合体:
正方体的内切球的直径是正方体的棱长,正方体的棱切球的直径是正方体的面对角线长, 正方体的外接球的直径是正方体的体对角线长.
球与长方体的组合体:
长方体的外接球的直径是长方体的体对角线长.
球与正四面体的组合体:
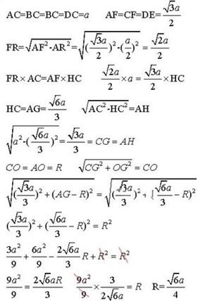
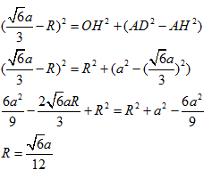
棱长为a的正四面体的内切球的半径为
,外接球的半径为
。
球与其他几何体的接切问题举例如下:
球的半径均为R,正方体、四面体、长方体的棱均为a,则R与a之间的关系:
(1)球与正四面体的顶点接:(如右图所示)
(2)球与正四面体的面切:

