高中数学知识点:独立性检验的基本思想及其初步应

逍遥右脑  2016-06-26 08:25

分类变量与列联表:


变量的不同“值”表示个体所属的不同类别,像这类变量称为分类变量;
列出的两个分类变量的频数表,称为列联表。


独立性检验:


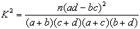
为了使不同样本容量的数据有统一的评判标准,构造一个随机变量,其中n=a+b+c+d为样本容量。利用随机变量K2来确定在多大程度上可以认为“两个分类变量有关系”的方法,称为两个分类变量的独立性检验。


利用独立性检验来考察两个分类变量是否有关系,并且能较精确地给出这种判断的可靠程度,具体做法是:


(1)根据实际问题需要的可信程度确定临界值k0
(2)利用公式(1),由观测数据计算得到随机变量K2的观测值;
(3)如果k>k0,就以(1-P(K2≥k0))×100%的把握认为“X与Y有关系”;否则就说样本观测数据没有提供“X与Y有关系”的充分证据。



独立性检验的性质:


独立性检验没有直观性,必须依靠K2 的观测值k作判断。



独立性检验的一般步骤:


(1)根据样本数据制成2×2列联表;
(2)根据公式,计算K2的值;
(3)查表比较K2与临界值的大小关系,作统计判断。




版权声明:本文内容由互联网用户自发贡献,该文观点仅代表作者本人。本站仅提供信息存储空间服务,不拥有所有权,不承担相关法律责任。如发现本站有涉嫌抄袭侵权/违法违规的内容,请发送邮件至 lxy@jiyifa.cn 举报,一经查实,本站将立刻删除。
上一篇:数学课堂有效教学初探
下一篇:高中数学知识点:四种命题及其相互关系

逍遥右脑在线培训课程推荐

【高中数学知识点:独立性检验的基本思想及其初步应】相关文章
【高中数学知识点:独立性检验的基本思想及其初步应】推荐文章