逍遥右脑 2016-06-12 09:46
1、打点计时器:
是一种测量时间的工具。如果运动物体带动的纸带通过打点计时器,在纸带上打下的点就记录了物体运动的时间,纸带上的点也相应的表示出了运动物体在不同时刻的位置。研究纸带上的各点间的间隔,就可分析物体的运动状况。
2、电磁打点计时器:
是一种记录运动物体在一定时间内发生的位移的计时仪器,它使用交流电源,由学生电源供电,工作电压在6V以下,当电源的频率是50Hz时,它每隔0.02s打一个点,通电前把纸带穿过限位孔,再把套在轴上的复写纸片压在纸带的上面,接通电源后,在线圈和永久磁铁的作用下,振片便振动起来,带动其上的振针上下振动。这时,如果纸带运动,振针就通过复写纸在纸带上留下一行小点。如果把纸带跟运动的物体连在一起,即由物体带动纸带一起运动,纸带上各点之间的距离就表示相应时间间隔中物体的位移。

3、电火花计时器的原理与电磁打点计时器:
电火花计时器的原理与电磁打点计时器类似,这种计时器工作时,纸带运动受到的阻力比较小,实验误差也就比较小。

打点计时器:
(1)作用:计时仪器,当电源频率为50Hz时,每隔0.02s打一次点。
(2)工作条件:①电磁打点计时器:4V~6V交流电源。②电火花打点计时器:220V交流电源。
(3)纸带上点的意义:①表示和纸带相连的物体在不同时刻的位置。
②通过研究纸带上各点之间的间隔,可以判断物体的运动情况。
③可以利用纸带上打出的点来确定计数点间的时间间隔。
利用纸带判断物体运动状态的方法:
(1)沿直线运动的物体在连续相等时间内不同时刻的速度分别为v1、v2、v3、v4、…,若v2-v1=v3-v2=v4-v3=…,则说明物体在相等时间内速度的增量相等,由此说明物体在做匀变速直线运动,即a=
=
=
=…
(2)沿直线运动的物体在连续相等时间内的位移分别为x1,x2,x3,x4…,若Δx=x2-x1=x3-x2=x4-x3=…,则说明物体在做匀变速直线运动,且Δx=.aT2。
速度、加速度的求解方法:
(1)即vn=
,如图所示:
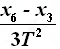
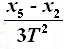
(2)由纸带求物体运动的加速度
①逐差法:即根据x4-x1=x5-x2=x6-x3=3aT2(T为相邻两计数点间的时间间隔),求出a1=
、a2=
、a3=
,再算出a1、a2、a3的平均值即为物体运动的加速度:
=
=.
。
②图象法:即先根据vn=
求出多个点的瞬时速度,后作出v-t图象,图象的斜率即为物体运动的加速度。