逍遥右脑 2016-06-01 11:06
圆的定义:
平面内与一定点的距离等于定长的点的集合是圆。定点就是圆心,定长就是半径。
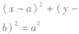
圆的标准方程:
圆的标准方程
,圆心(a,b),半径为r;特别当圆心是(0,0),半径为r时,圆的标准方程为
。
圆的一般方程:
圆的一般方程
当
>0时,表示圆心在
,半径为
的圆;
当
=0时,表示点
;
当
<0时,不表示任何图形。
圆的定义的理解:
(1)定位条件:圆心;定形条件:半径。
(2)当圆心位置与半径大小确定后,圆就唯一确定了.因此一个圆最基本的要素是圆心和半径.
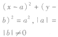
圆的方程的理解:
(1)圆的标准方程中含有a,b,r三个独立的系数,因此,确定一个圆需三个独立的条件.其中圆心是圆的定位条件,半径是圆的定形条件.
(2)圆的标准方程的优点在于明确显示了圆心和半径.
(3)圆的一般方程形式的特点:
a.
的系数相同且不等于零;
b.不含xy项.
(4)形如
的方程表示圆的条件:
a.A=C≠0;
b.B=0;
c.
即
几种特殊位置的圆的方程:
| 条件 | 标准方程 | 一般方程 |
| 圆心在原点 | | |
| 过原点 | | |
| 圆心在x轴上 | | |
| 圆心在y轴上 | | |
| 与x轴相切 | | |
| 与y轴相切 | | |
与x,y轴都相切 | | |
| 圆心在x轴上且过原点 | | |
| 圆心在y轴上且过原点 | | |