高中数学知识点:圆的参数方程

逍遥右脑  2016-05-17 15:45

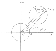
圆的参数方程:


(θ∈[0,2π)),(a,b)为圆心坐标,r为圆的半径,θ为参数(x,y)为经过点的坐标。






圆心为原点,半径为r的圆的参数方程:


如图,如果点P的坐标为(x,y),圆半径为r,根据三角函数定义,点P的横坐标x、纵坐标y都是θ的函数,即



版权声明:本文内容由互联网用户自发贡献,该文观点仅代表作者本人。本站仅提供信息存储空间服务,不拥有所有权,不承担相关法律责任。如发现本站有涉嫌抄袭侵权/违法违规的内容,请发送邮件至 lxy@jiyifa.cn 举报,一经查实,本站将立刻删除。
上一篇:学好数学小窍门
下一篇:运用多媒体教育技术优化数学课堂教学

逍遥右脑在线培训课程推荐

【高中数学知识点:圆的参数方程】相关文章
【高中数学知识点:圆的参数方程】推荐文章