逍遥右脑 2016-04-02 16:18
等比中项:
若数a,G,b成等比数列,那么就称G为a与b的等比中项,从而有G2=ab或G=±
。
等比中项的理解:
如果a,G,b三个数成等比数列,则有G2=ab.反之不一定成立.由等比中项定义可知:
,
,
这表明,只有同号的两项才有等比中项,并且这两项有2个互为相反数的等比中项,当a>0,b>0时,G
又叫做a,b的几何平均数。
对称问题:
(l)点关于点成中心对称的对称中心恰是以这两点为端点的线段的中点,因此中心对称的问题是线段中点坐标公式的应用问题.
设
,对称中心为A(a,b),则P关于A的对称点为
(2)点关于直线成轴对称问题
由轴对称定义知,对称轴即为两对称点连线的“垂直平分线”.利用“垂直”“平分”这两个条件建立方程组,就可求出对称点的坐标.一般情形如下:
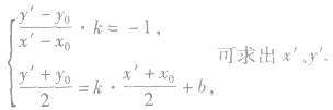
设点
关于直线y=kx+b的对称点为
,则有
特殊地,点
关于直线x=a的对称点为
;点
关于直线y=b的对称点为
(3)曲线关于点的中心对称、曲线关于直线的轴对称问题,一般是转化为点的中心对称或轴对称(这里既可选特殊点,也可选任意点).一般结论如下:
①曲线f(x,y)=0关于已知点A(a,b)的对称曲线的方程是f(2a-x,2b-y)=0.
②曲线f(x,y)=0关于直线y=kx+b的对称曲线的求法:
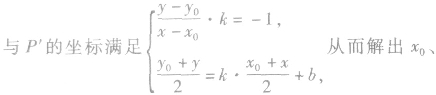
设曲线f(x,y)=0上任意一点为
,P点关于直线y=kx+b的对称点为P′(x,y),则由(2)知,P
利用坐标代换法就可求出曲线f(x,y)=0关于直线y=kx+b对称的曲线方程。
几种特殊位置的对称: