初中数学知识点:反比例函数的图像
逍遥右脑 2016-03-14 10:32
反比例函数的图象:
反比例函数的图像是双曲线,它有两个分支,这两个分支分别位于第一、三象限,或第二、四象限,它们关于原点对称。由于反比例函数中自变量x≠0,函数y≠0,所以,它的图像与x轴、y轴都没有交点,即双曲线的两个分支无限接近坐标轴,但永远达不到坐标轴。
反比例函数的图像属于以原点为对称中心的中心对称的双曲线,反比例函数图像中每一象限的每一支曲线会无限接近X轴Y轴但不会与坐标轴相交(y≠0)。
反比例函数图象的画法:
(1)列表:

(2)描点:在平面直角坐标系中标出点。
(3)连线:用平滑的曲线连接点。
当双曲线在一三象限,K>0,在每个象限内,Y随X的增大而减小。
当双曲线在二四象限,K<0,在每个象限内,Y随X的增大而增大。
常见画法当两个数相等时那么曲线呈弯月型。
k的意义及应用:
过反比例函数

(k≠0),图像上一点P(x,y),作两坐标轴的垂线,两垂足、原点、P点组成一个矩形,矩形的面积

。过反比例函数过一点,作垂线,三角形的面积为

。
研究函数问题要透视函数的本质特征。反比例函数中,比例系数k有一个很重要的几何意义,那就是:过反比例函数图象上任一点P作x轴、y轴的垂线PM、PN,垂足为M、N则矩形PMON的面积

所以,对双曲线上任意一点作x轴、y轴的垂线,它们与x轴、y轴所围成的矩形面积为常数。从而有k的绝对值。在解有关反比例函数的问题时,若能灵活运用反比例函数中k的几何意义,会给解题带来很多方便。
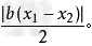
推论内容:一次函数y=x+b或y=-x+b若与反比例函数

存在两个交点,若设2点的横坐标分别为x
1,x
2,那么这两个交点与原点连线和两点之间的连线所构成的三角形面积为
不同象限分比例函数图像:

常见画法:
版权声明:本文内容由互联网用户自发贡献,该文观点仅代表作者本人。本站仅提供信息存储空间服务,不拥有所有权,不承担相关法律责任。如发现本站有涉嫌抄袭侵权/违法违规的内容,请发送邮件至 lxy@jiyifa.cn 举报,一经查实,本站将立刻删除。