高中数学知识点:线性回归分析

逍遥右脑  2016-03-09 11:53

回归直线:


如果散点图中点的分布从整体上看大致在一条直线附近,我们就称这两个变量之间具有线性相关关系,这条直线叫做回归直线;


最小二乘法:


使得样本数据的点到回归直线的距离的平方和最小的方法叫做最小二乘法。


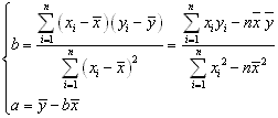
回归直线方程:



其中



回归分析是处理变量相关关系的一种常用数学方法,其步骤为:


(1)确定特定量之间是否有相关关系,如果有,那么就找出他们之间贴近的数学表达式;
(2)根据一组观察值,预测变量的取值及判断变量取值的变化趋势;
(3)求出回归直线方程。





版权声明:本文内容由互联网用户自发贡献,该文观点仅代表作者本人。本站仅提供信息存储空间服务,不拥有所有权,不承担相关法律责任。如发现本站有涉嫌抄袭侵权/违法违规的内容,请发送邮件至 lxy@jiyifa.cn 举报,一经查实,本站将立刻删除。
上一篇:高中数学知识点:三角函数的诱导公式
下一篇:数学课堂导入的方法

逍遥右脑在线培训课程推荐

【高中数学知识点:线性回归分析】相关文章
【高中数学知识点:线性回归分析】推荐文章