逍遥右脑 2016-02-26 18:32
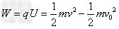
,有q=
。 
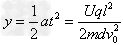
,
,
,偏转角:
。 
电场中无约束情况下的匀速圆周运动:
1.物体做匀速圆周运动的条件从力与运动的关系来看,物体要做匀速圆周运动,所受合外力必须始终垂直于物体运动的方向,而且大小要恒等于物体所需的向心力。冈此,物体做匀速圆周运动时必须受到变力的作用,或者不受恒力的作用,或者恒力能被平衡。
2.在静电力作用下的匀速圆周运动在不考虑带电粒子的重力作用时,带电粒子有两种情况可以做匀速圆周运动。
(1)在带有异种电荷的同定点电荷周围。
(2)在等量同种点电荷的中垂面上,运动电荷与场源电荷异性。在这种情境中,还要求运动电荷所具有的初速度要与所受到的电场力垂直,且满足合外力等于所需向心力的条件。否则运动电荷可能做直线运动、椭圆运动等。
3.有重力参与的匀速圆周运动重力是一恒力,带电粒子要做匀速圆周运动,重力必须被平衡,一种方式是利用水平支撑面的弹力,一种方式是利用变化的电场力的某一分力。
带电粒子所受重力的处理方法:
是否考虑重力要依据具体情况而定:
(1)微观粒子:如电子、质子、α粒子、离子等,除有说明或明确的暗示外,一般不考虑重力(但不能忽略质量)。
(2)带电颗粒:如液滴、油滴、尘埃、小球等,除有说明或明确的暗示外,一般都不能忽略重力。
(3)有些情况下是否考虑粒子的重力需要用假设法从粒子的运动上来分析,若考虑粒子的重力,粒子的运动与题目给定的运动状态不符合,则不需考虑重力;若不考虑粒子所受到的重力,粒子不能完成题目给定的运动过程就必须考虑重力。
(4)在给定具体数据的情况下还可以通过定量计算来选择是否考虑重力的作用,一般说来重力与电场力相差两个甚至两个以上的数量级,粒子的重力就可以忽略。
匀强电场与重力场的复合场问题的处理方法:
1.动力学观点的两种方法
(1)正交分解法:处理这种运动的基本思想与处理偏转运动是类似的,可以将此复杂的运动分解为两个互相正交的比较简单的直线运动,然后再按运动合成的观点去求出复杂运动的有关物理量。
(2)等效“重力”法:将重力与电场力进行合成,如图所示,则
等效于“重力”,
等效于“重力加速度” 
的方向,等效于“重力”的方向,即在重力场中竖直向下的方向。
2.功能观点的解决方法
(1)从功能观点出发分析带电粒子的运动问题时,在对带电粒子受力情况和运动情况进行分析的基础上,再考虑应用恰当的规律解题。如果选用动能定理,要分清有几个力做功,做正功还是负功,是恒力做功还是变力做功,以及初、未状态的动能。
(2)如果选用能垃守恒定律解题,要分清有多少种形式的能参与转化,哪种形式的能增加,哪种形式的能减少,并注意电场力做功与路径无关。
带电粒子在交变电场中运动问题的解决方法:
带电粒子在极板问加速或偏转时,若板间所加电压为一交变电压,则粒子在板间的运动可分两种情况处理:一是粒子在板间运动时间t远小于交变电压的周期T;二是粒子在板间运动时间t与交变电压变化周期 T相差不大甚至t>T。
第一种情况下需采用近似方法处理,可认为在粒子运动的整个过程的短暂时问内,板间电压恒等于粒子入射时的电压,即在粒子运动过程中,板间电压按恒压处理,且等于粒子入射时的瞬时电压。
第二种情况下粒子的运动过程较为复杂,可借助于粒子运动的速度图像。物理图像是表达物理过程、规律的基本工具之一,用图像反映物理过程、规律,具有直观、形象的特点,带电粒子在交变电场中运动时,受电场力作用,其加速度、速度等均做周期性变化,借助图像来描述它在电场中的运动情况,可直观展示物理过程,从而获得启迪,快捷地分析求解。在有交变电场作用下带电粒子运动的问题中,有一类重要问题是判定带电粒子能从极板间穿出的条件或侧移量、偏转角范围等问题。而解决此类问题的关键是找出粒子恰好能从板间飞出的临界状态:恰好从极板边缘飞出,并将其转换为临界状态方程。
带电粒子在接地极板间运动问题的解决方法:
当粒子在平行金属板间运动时,若一个极板接地,会对粒子的运动造成什么影响呢?这需分两种情况来考虑:
(1)粒子运动过程巾与极板之间无接触,极板接地只是确定极板电势的高低,这种情况下极板接地与否对粒子的运动不产生影响。
(2)一个极板接地,当运动电荷与另一极板接触而使电荷量变化,则接地的极板也就会与大地之问发生电荷的转移,从而确保两极板所带电荷量相等,但电荷量变化时,极间电场也随之发生变化。