初中数学知识点:分式的乘除

逍遥右脑  2016-02-10 14:19

分式的乘除法则:
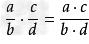
1、分式的乘法法则:
分式乘分式,用分子的积作为积的分子,分母的积作为分母。
用字母表示为:
2、分式的除法法则:
分式除以分式,把除式的分子、分母颠倒位置后,与被除式相乘;除以一个分式,等于乘以这个分式的倒数。
用式子表示为:(b,c,d均不为零)
3、分式的乘方法则:分式乘方要把分子、分母分别乘方。
用式子表示为:(n为正整数),其中b≠0,a,b可以代表数,也可以代表代数式。



分式乘除的解题步骤:
分式乘法:
(1)先确定积的符号:数出整个参与运算的式子中负号的个数,如果有偶数个负号,积为正;
如果有奇数个负号,积为负;
(2)计算分子与分子的积;
(3)计算分母与分母的积;
(4)把积中的分子,分母进行约分,化成最简分式或整式。
在解题时,这些步骤是连贯的。


分式除法
要注意两个变化:
一是运算符号的变化,由原来的除法运算变成乘法运算;
二是除式的分子、分母位置的变化,由原来的分子变成乘法中的分母,原来的分母变成乘法中的分子。
同学们也可以这样来理解这条法则:
两个分式相除,用被除式的分子乘以除式的分母,作为商的分子,用被除式的分母乘以除式的分子,作为商的分母。
这样,就和分式的乘法法则在表述形式上相近了,就好记忆些。

基本步骤:
(1)先确定积的符号:数出整个参与运算的式子中负号的个数,如果有偶数个负号,积为正;
如果有奇数个负号,积为负;
(2)计算被除式的分子与除式的分母的积,作为商的分子;
(3)计算被除式的分母与除式的分子的积,,作为商的分母;
(4)把商中的分子,分母进行约分,化成最简分式或整式。
此法,有点十字相乘的思想。就像比例的计算,内项之积为分子,外项之积为分母。



版权声明:本文内容由互联网用户自发贡献,该文观点仅代表作者本人。本站仅提供信息存储空间服务,不拥有所有权,不承担相关法律责任。如发现本站有涉嫌抄袭侵权/违法违规的内容,请发送邮件至 lxy@jiyifa.cn 举报,一经查实,本站将立刻删除。
上一篇:发现 体验 发展----对初中数学复习课模式的尝试
下一篇:现代信息技术在初中数学中的应用

逍遥右脑在线培训课程推荐

【初中数学知识点:分式的乘除】相关文章
【初中数学知识点:分式的乘除】推荐文章