逍遥右脑 2016-01-29 11:18



回路划分法处理远距离输电问题:
(1)画出远距离输电的电路图,并将已知量和待求量写在电路图的相应位置。
(2)以变压器为界将输电电路划分为三个独立的回路,每个回路都可以用欧姆定律、串并联电路的特点、电功和电功率的公式等计算。联系各个回路的桥梁是原、副线圈的电压与匝数的关系,电流与匝数的关系及输入功率与输出功率的关系等。
①回路1:由发电机和输电线路的升压变压器的原线圈1组成。这个回路又可称为发电机电路(或输入电路)。
②回路2:由输电线路的升压变压器的副线圈2和降压变压器的原线圈3组成。这个回路又可称为输送电路。 
③回路3:由用户与降压变压器的副线圈4组成。这个回路又可称为输出电路。 
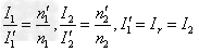
④利用变压器的电压、电流关系找出两个变压器原副线圈中各物理量的关系即相邻回路间的联系:
a.升压变压器:
b.降压变压器:
⑤输电效率联系起三个回路