高中物理知识点:欧姆定律
逍遥右脑 2016-01-17 10:06
欧姆定律:
1、内容:导体中的电流跟导体两端的电压成正比,跟导体的电阻值成反比。
2、公式:I=U/R。
3、适用范围:纯电阻用电器(例如:适用于金属、液体导电,不适用于气体导电)。
4、图象表示:在R一定的情况下,I正比于U,所以I—U图线、U—I图线是过原点的直线,且R=U/I,所以在I—U图线中,R=cotθ=1/k
斜率,斜率越大,R越小;在U—I图线中,R=tanθ=k
斜率,斜率越大,R越大。
欧姆定律与电阻定律:


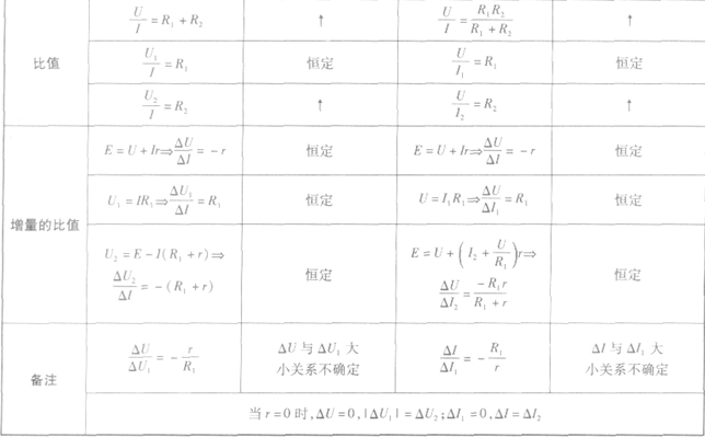
动态直流电路半定量问题的分析方法:


版权声明:本文内容由互联网用户自发贡献,该文观点仅代表作者本人。本站仅提供信息存储空间服务,不拥有所有权,不承担相关法律责任。如发现本站有涉嫌抄袭侵权/违法违规的内容,请发送邮件至 lxy@jiyifa.cn 举报,一经查实,本站将立刻删除。