逍遥右脑 2015-12-24 11:32

交变电流的物理量:
| 峰值(最大值) | 概念 | 峰值是指最大的瞬时值,通常用 表示 |
| 获得方法 | 最大值可由图像获得,可由瞬时值表达式i 获得,也可通过关系式![]() 来计算 | |
| 应用环境 | 当考虑某些电学元件(电容器、晶体管等) 的击穿电压(耐压值)时,指的是交变电流的最大值 | |
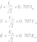
| 有效值 | 概念 | 有效值是根据电流的热效应定义的一个等效概念:让交变电流与恒定电流分别通过大小相同的电阻,如果它们在一个周期内产生的热量相等,而这个恒定电流是I、电压是U,我们就把I、U叫做这个交流电的有效值。有效值通常用大写字母I、U、E表示 |
| 获得方法 | 对于正弦式交变电流有:![]() 对于非正弦式交变电流,可利用有效值的定义来计算其有效值 对纯电阻电路以下各式仍成立 ![]() | |
| 应用环境 | 当计算某时间内的功率、产生的热量、电流做的功等问题时需使用有效值 | |
| 备注 | ①提到交变电流,在没有特别说明时都是指有效值。 ②交流电气设备上,标出的额定电压、额定电流都是有效值。 ③交流电表显示的示数是有效值。 ④计算电功、电热时需用有效值。 ⑤保险丝的熔断电流是指有效值。 ⑥在半个周期的整数倍时间内有最大值,最大值等于有效值的 倍。 ⑦四分之一周期内峰值等于有效值√2倍的条件是计时起点对应的瞬时值为零或峰值。 ⑧小于四分之一周期内有效值不等于峰值的 ![]() | |
| 平均值 | 概念 | 交变电流的电学量对时间的平均,通常用符号 表示 |
| 获得方法 | ![]() 对于纯电阻电路: ![]() | |
| 应用环境 | 在计算某段时间内通过导体横截面的电荷量时需用平均值 |
知识拓展:
1.交变电流的平均值和最大值的联系闭合线圈绕垂直于匀强磁场的转动轴匀速转动时,可产生正、余弦交变电流,以电动势为例,二者联系如下表所示:
2. 几种典型电流的有效性:
3. 中性面: