逍遥右脑 2015-12-21 10:23
有电流表,无电压表的“另类方法”
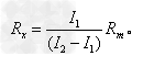
1.安安法
若器材要求只能用两个电流表,且有一只已知阻值的定值电阻。方法如下:(如图1所示):
(1)闭合开关,测出通过R0和Rx的电流I2和I1。
Rx的计算式:
2.安滑法
若器材要求只能用一个电流表,且有一只滑动变阻器,方法如下:(如图2所示):
(1)闭合开关,测出通过当滑动变阻器阻值最大(最大电阻为Rm)时的电流值I1和当滑动变阻器阻值最小时的电流值I2。
(2)Rx的计算式:
3.安阻法
若器材要求只能用一个电流表,且有一只已知阻值的定值电阻,方法如下:(如图3所示):
(1)当S1闭合,S2断开时,电流表测的是通过R0的电流I0。
(2)当S1断开,S2闭合时,电流表测的是通过Rx的电流Ix。
(3)Rx的计算式:
有电压表,无电流表的“另类方法”
此类测电阻的方法,其设计思想是:由于不能利用电流表测出电流,所以必须应用电压表多次测电压,运用串联电路中电流相等求出电流,进行等效电路设计。
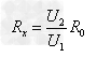
1.伏伏法
(1)闭合开关,测出R0和Rx两端的电压U1和U2。
(2)Rx的计算式: 
2.伏滑法
若器材要求只能用一个电压表,且有一只滑动变阻器,方法如下:(如图5所示):
(1)闭合开关,测出当滑动变阻器阻值最大(最大电阻为Rm)时Rx两端的电压值U1和当滑动变阻器阻值最小时的电压值U2。
(2)Rx的计算式: 
3.伏阻法
若器材要求只能用一个电压表,且有一只已知阻值的定值电阻,方法如下:(如图6所示):
(1)当S1闭合,S2断开时,电压表测的是R0两端电压U0。
(2)当S1、S2都闭合时,电压表测的是电源电压U。
(3)Rx的计算式: 
一、有电流表,无电压表的“另类方法”
1.安安法
若器材要求只能用两个电流表,且有一只已知阻值的定值电阻。方法如下:(如图1所示):
(1)闭合开关,测出通过R0和Rx的电流I2和I1。
Rx的计算式:
2.安滑法
若器材要求只能用一个电流表,且有一只滑动变阻器,方法如下:(如图2所示):
(1)闭合开关,测出通过当滑动变阻器阻值最大(最大电阻为Rm)时的电流值I1和当滑动变阻器阻值最小时的电流值I2。
(2)Rx的计算式:
3.安阻法
若器材要求只能用一个电流表,且有一只已知阻值的定值电阻,方法如下:(如图3所示):
(1)当S1闭合,S2断开时,电流表测的是通过R0的电流I0。
(2)当S1断开,S2闭合时,电流表测的是通过Rx的电流Ix。
(3)Rx的计算式:
二、有电压表,无电流表的“另类方法”
此类测电阻的方法,其设计思想是:由于不能利用电流表测出电流,所以必须应用电压表多次测电压,运用串联电路中电流相等求出电流,进行等效电路设计。
1.伏伏法
(1)闭合开关,测出R0和Rx两端的电压U1和U2。
(2)Rx的计算式: 
2.伏滑法
若器材要求只能用一个电压表,且有一只滑动变阻器,方法如下:(如图5所示):
(1)闭合开关,测出当滑动变阻器阻值最大(最大电阻为Rm)时Rx两端的电压值U1和当滑动变阻器阻值最小时的电压值U2。
(2)Rx的计算式: 
3.伏阻法
若器材要求只能用一个电压表,且有一只已知阻值的定值电阻,方法如下:(如图6所示):
(1)当S1闭合,S2断开时,电压表测的是R0两端电压U0。
(2)当S1、S2都闭合时,电压表测的是电源电压U。
(3)Rx的计算式: 