逍遥右脑 2015-12-15 11:33
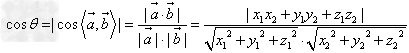
异面直线所成角:
,
(其中
为异面直线a,b所成角,
分别表示异面直线a,b的方向向量)。
直线AB与平面所成角:
(
为平面α的法向量);
二面角
的平面角:
或
(
,
为平面α,β的法向量)。
用向量求异面直线所成角注意:
①求异面直线所成的角常用平移法或向量法,特别是向量法,由于降低了空间想象的要求,所以需引起我们的重视,用向量法时,需注意两异面直线夹角的范围是
②两异面直线所成的角可以通过这两条直线的方向向量的夹角来求得,但二者不完全相等,当两方向向量的夹角是钝角时,应取其补角作为两异面直线所成的角.
求直线与平面所成的角既可选择传统立体几何的综合推理法,也可选择空间向量的向量法:
①求直线和平面所成角的步骤:作出斜线与其射影所成的角;证明所作的角就是要求的角;常在直角三角形(垂线、斜线、射影所组成的直角三角形)中解出所求角的大小:
②在用向量法求直线OP与α所成的角时一般有两种途径:一是直接求
其中OP′,为斜线OP在平面α内的射影;二是通过求
进而转化求解,其中n为平面α的法向量。
用向量求二面角注意:
①当法向量
的方向分别指向二面角的内侧与外侧时,二面角θ的大小等于法向量
的夹角
的大小;
②当法向量
的方向同时指向二面角的内侧或外侧时,二面角θ的大小等于法向量
的夹角的补角
的大小.
求二面角,大致有两种基本方法:
(1)传统立体几何的综合推理法:①定义法;②垂面法;③三垂线定理法;④射影面积法.
(2)空间向量的坐标法:建系并确定点及向量的坐标,分别求出两个平面的法向量,通过求两个法向量的夹角得出二面角的大小.