逍遥右脑 2015-11-19 12:59
正弦式交变电流:
1.基本产生方法
将闭合线圈置于匀强磁场,并绕垂直于磁场方向的轴做匀速转动,线圈中将产生按正(余)弦规律变化的交流电。
如图所示表示了线圈ABCD在磁场中逆时针转动一周的情况。前半周(甲→乙→丙)电流沿着DCBA方向流动(由右手定则分别判断ABCD边切割磁感线,而AD、BC边不切割磁感线),后半周(丙→丁→戊)电流方向为ABCD,两种情况交替出现,形成交变电流。
2.正弦式交变电流的其他产生方法
(1)从磁通量角度来看,当
时,感应电动势所产生的电流为正弦式交变电流。
①磁场随时间按正弦或余弦规律变化
如图所示,当n匝线圈与磁场
成
角放置时,设线圈面积为S,线圈中产生的感应电动势为
②面积随时间按正弦或余弦规律变化
这种情况通常是因导体运动引起的。
③面与磁场夹角随时问均匀变化这是上述产生正弦式交变电流的基本方法。
(2)从导体切割的角度来看,当
时,可能的原因由
可知,可能是
中之一随时间变化引起的。
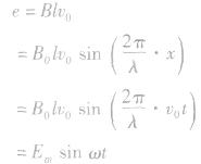
①导体棒运动
如图所示,当导体棒运动的速度满足
时,产生的是正弦式交变电流

②有效长度变化如图所示,两条相间绝缘的导轨形状满足
,当导体杆MN以速度v匀速沿导轨滑动时,在导轨间导体杆产生的电动势为

③磁场随空间变化
如图甲所示,磁场垂直于xoy平面,大小只在沿x 轴方向按图乙所示规律发生变化。当导体杆以速度v0 沿x轴匀速运动时,杆产生的是正弦式交变电流。
